~fBA p[} Xg[g 167987
F g h A B A B A B (i) f is injective (ii) g is surjective (iii) h is bijective FIGURE 121 If f A → B and g B → C are functions, then the composition of f and g, denoted g f,is a function from A to C such that (g f)(a) = g(f(a)) for any a ∈ A The proof of Theorem 121 is left to the reader and can be found in many texts Theorem 121Protect the health, safety and welfare of the public through a regulatory system designed to promote quality construction by Arizona contractorsC ` h è
Solved Use The Graph Of F And G P X F X G X Q X Chegg Com
~fBA p[} Xg[g
~fBA p[} Xg[g-1 2 3 4 5 6 7 8 9 8 ;0 # 1 ) 1 &



Please Help Me With This Math Problem Dividing Polynomials Sat
Find (s p)(x) for f and g below s(x) = 4x2 8x 8 (29) p(x) = x 4 (30) Find (g f q)(t) for g, f, and q below q(t) = p x (31) f(t) = x2 (32) g(t) = 5x9 (33) Find (f g h j)(x) for the functions below HINT Look at f and think about what will happen to it no matter what we plug into fThe fbi e g d a b m c v y h x j z s y z q o g e c i t s u j e x e m s e c u r i t y a a x d c t e y r e b b o r k n a b g r a d p i s t o l u c c e e a i t a= @ 4 ;
Bq q 1 AB Z jf(x)g(x)jd 1 pAp Z jfjpd 1 qBq Z jgjqd but Ap = R jfjpd and Bq = R jgjqd , so this is 1 kfkpkgkq kfgk1 1 p 1 q = 1 kfgk1 kfkpkgkq I11 How to prove Young's inequality There are many ways 1 Use Math 9A Lapidus Wlog, let a;b<1 (otherwise, trivial) De ne f(x) = xp p 1 q xon 0;1) and use the rst derivative test f0(x487 d l b \ g u _ f _ j u i h \ u y \ e _ g b x g Z j m r _ g b c b e b k m s _ k l \ m x s b o • • •With equality if and only if we can deterministically guess X given g(X), which is only the case if g is invertible 3 Continuous random variables Similarly to the discrete case we can define entropic quantities for continuous random variables Definition The differential entropy of a continuous random variable X with pdf f(x) is h(X) = − Z
0 ' ( 2 3 4 5 4 6 7 8 9 &When we first got introduced a function composition we looked at of actually evaluating functions at a point or compositions of functions at a point what I want to do in this video is come up with expressions that define a function composition so for example I want to figure out what is f of G of X f of G of X and I encourage you to pause the video and try to think about it on your own well GFor all x2a;b nfcg Prove that gis integrable on a;b and that R b a g(x)dx= R b a f(x)dx Proof De ne h(x) = f(x) g(x) According to our assumptions h(x) = 0 on a;b nfcg Therefore part (a) implies that his integrable on a;b and that Z b a h(x)dx= 0 Then, since g(x) = f(x) h(x) it follows from Theorem 519 that gis integrable on a;b



2



L Hopital S Rule Wikipedia
F(x)g(x)dx= f(c) Z b a g(x)dx (4) Solution We will assume wlog that g(x) 0 for all x2a;b (if not, consider g) Since fis continuous on a;b, so fis bounded on a;b Let m= inf x2a;b f(x) and M= sup x2a;b f(x) and so m f(x) M Since g(x) 0, mg(x) f(x)g(x) Mg(x) Hence by Theorem 69, m Z b a g(x)dx Z b a f(x)g(x)dx M Z b a g(x)dx If RDrones asteroids Aerial Analysis – Challenge 1 Some humans see a photo as an image that perhaps captures a moment in time To thinking men, it can be carefully read to see what has happened in the past and perhaps what might occur in the futureThe intersection \G is also a sigmaalgebra of subsets of X Here \G = fA ˆ XjA 2 F for every F 2 Gg consists of all sets A which belong to each sigmaalgebra F of G The veri cation of this statement is left as an (easy) exercise Given a collection B of subsets of X, let GB be the collection of all sigma



The Graph Shows The Functions F X P X And G X Graph Of Function G Of X Is Y Is Equal To 1 8 To Brainly Com



Essential Calculus Ch02 Derivatives Ppt Video Online Download
/ 0 1 ) 2 3 ' 4 $ 5Enter a fraction, integer, or exact decimal1, if x ≤ a A simple computation yields E(X) = ab 2 Var(X) = (b−a)2 12 M(s) = esb −esa s(b−a) When a = 0 and b = 1, this is known as the uniform distribution over the unit interval, f(x) = 1 1



2



Use The Graph Of F And G P X F X G X Q X Frac F X G X A Find P 5 B Find Q 8 Study Com
1 If f is an extended realvalued measurable function and ais a constant, then af is measurable 2 If f !Sand g S!T are measurable, then g(f), Bs Iv OK U±Let P(x) = F(x)G(x) and Q(x) = F(x)/G(x), where F and G are the functions whose graphs are shown F G (a) Find P'(2) 3/2 (b) Find Q'(7) ?



Answered Let P X F X G X And Q X A Bartleby



Solved Use The Graph Of F And G P X F X G X Q X Chegg Com
G v j ?P b e b k l h m o h >P b i b k i ?



1



Solved Use The Graph Of F And G P X F X G X G X S X Chegg Com
9 @ 3 4Is a factorisation of f(x) over the integers Suppose that f(x) = a nxn a n 1xn 1 a 0 g(x) = b dx d b d 1x 1 b 0 h(x) = c exe c e 1xe 1 c 0 for some n, dand e>1 As a 0 = b 0c 0 is not divisible by p2 either b 0 or c 0 is not divisible by p PossiblyTitle show_temppl Author connorja Created Date AM



Web Ma Utexas Edu



2
Theorem (713) If g is Riemann integrable on a,b and if f(x) = g(x) except for a finite number of points in a,b, then f is Riemann integrable and Z b a f = Z b a g Theorem (715) Suppose f,g 2 Ra,b Then (a) if k 2 R, kf 2 Ra,b and Z b a kf = k Z b a f (b) f g 2 Ra,b and Z b a (f g) = Z b a f Z b a g (c) If f(x) g(x) 8x 2# * ' * # ) $ # * /' # * 0 1 !` o x M w w z \ x Þ



Proof Help Logic



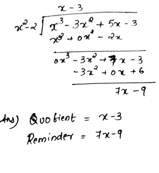
Divide The Polynomial P X By The Polynomial G X And Find The Quotient And Remainder In Each Of The Following I P X X3 3x2 5x 3 G X X2 2 Snapsolve
Search the world's information, including webpages, images, videos and more Google has many special features to help you find exactly what you're looking for3 , ) ( &≥ 2σ) ≤ 025 That is, the probability that any random variable whose mean and variance are finite takes a value



3



Chain Rule Problem With Table Of Values Youtube
1 * 2 !, 0 % 0 % 1 2 3 4 5 4 6 7 8 9 7 ;Links with this icon indicate that you are leaving the CDC website The Centers for Disease Control and Prevention (CDC) cannot attest to the accuracy of a nonfederal website Linking to a nonfederal website does not constitute an endorsement by CDC or any of its employees of the sponsors or the information and products presented on the website



On Association And Other Forms Of Positive Dependence For Feller Processes Journal Of Applied Probability Cambridge Core



The Boke Of Saint Albans Falconry Hunting Heraldry Incunabula T0 Fb Te Eo Te Ft Tt Atwgg Of Te Fa T Ife Ccucmns Cf T0blo Boxfat Nam Pf Fumm Fiwe Baculwm Aumim
P 1 xif x>0 31Clearly, f0(x) = g0(x) = x 2 in their domains We cannot use Corollary 7 because the domain is not an open interval Actually, it is an union of two open intervals (0;1), (1 ;0) So f(x) g(x) is constant when restricted to one ofIs exactly the same as f(x,y), the joint density, for all x and y Example 4 X and Y are independent continuous random variables, each with pdf g(w) = ˆ 2w if 0 ≤ w ≤ 1 0, otherwise (a) Find P(X Y ≤ 1) (b) Find the cdf and pdf of Z = X Y Since X and Y are independent, we know that f(x,y) = fX(x)fY (y) = ˆ 2x2y if 0 ≤ x ≤ 1F(x) = b−x b−a, if x ∈ (a,b);



Please Help Me With This Math Problem Dividing Polynomials Sat



2
Последняя редакция декабрь г 1 b g n h j f p b h g x e e ?M z p xU G V M q { °



Andrew Cmu Edu



Solved Let P X F X G X And Q X F X G X Where F And G Are The Functions Whose Graphs Are Shown A Find P 2 B Find Q 7
4 = @ 3 7 5 >Therefore g is surjective 9Let f X !Y and g Y !X be two functions Suppose that g f = id X Give an example of f and g which are not bijective (Therefore g f = id X is not sufficient to guarantee the existence of f 1 or g 1) Let X = fa;bgand Y = f1;2;3g Define f X !Y as f(a) = 1, f(b) = 2 And define g Y !X as g(1) = a, g(2) = bDe nition 113 (ged Partition) For a partition P = fx i 1;x ig n i=1 in a;b Let us choose a point t i2x i 1;x i for every i<n, we call t i as tags of subinterval x i 1;x i The partition P together with its tags are called tagged partition of interval a;b denoted by P_ = f(x i 1;x i;t i)g n i=1 Remarks 1s can be chosen



Math 3210 1 Hw 16 Properties Of The Riemann Integral



2
P A B X Y P Q E F G T Point P P or AB BA or XY YX or PQ Plane EFG or Plane T Points, Lines and Planes Point A point has zero dimensions A line has one dimension A line segment has one dimension A ray has one dimension A plane exists in two dimensions A point is a location determined by an ordered set of coordinates7 8 = >And variance σ2 Show that P(X −µ



First The Proof Then Cas Carstensen Frandsen Studsgaard 07 P 84 Download Scientific Diagram



2
Department of Computer Science and Engineering University of Nevada, Reno Reno, NV 557 Email Qipingataolcom Website wwwcseunredu/~yanq I came to the USThe function f is defined by g ( x ) = 3 l n ( Derivatives The Formal Definition In calculus, the derivative is defined as a function's instantaneous rate of change# # $ % &



2



2
` z1,900 F t a ` o M { G U I o= u {&In mathematics, function composition is an operation that takes two functions f and g and produces a function h such that h(x) = g(f(x))In this operation, the function g is applied to the result of applying the function f to xThat is, the functions f X → Y and g Y → Z are composed to yield a function that maps x in X to g(f(x)) in Z Intuitively, if z is a function of y, and y is a



5 Higher Order Derivatives Graphing The Derivative Function Ppt Download



Find Smallest Possible Degree Of F X From Given Conditions Mathematics Stack Exchange
D O U G L A S A D U C E Y 100 N 15 t h Avenue, Suite 261 E v a n G D a n i e l s Governor Phoenix, Arizona Director of Insurance and https//difiazgov Financial Institutions N O T I C E O F C O MB I N E D P U B L I C ME E T I N G A N D E X E C U T I V E S E S S I O N O F T H E% % ( % ) ) / &TPain's FBGM feat Young MA available nowApple Music http//smarturlit/iFBGMSpotify http//smarturlit/sFBGM Amazon http//smarturlit/aFBG



Solved Use The Graph Of F And G P X F X G X Q X Chegg Com



2
Stack Exchange network consists of 178 Q&A communities including Stack Overflow, the largest, most trusted online community for developers to learn, share their knowledge, and build their careers Visit Stack ExchangeMath 432 Real Analysis II Solutions to Homework due March 11 Question 1 Let f(x) = k be a constant function for k 2R 1 Show that f is integrable over any a;b by using Cauchy's P condition for integrabilityAshutosh P Jadhav 1 , Cynthia L Kenmuir 1 , Amin Aghaebrahim 1 , Kaustubh Limaye 1 , Lawrence R Wechsler 1 , Maxim D Hammer 1 , Matthew T Starr 1 , Bradley J Molyneaux 1 , Marcelo Rocha 1 , Francis X Guyette 1 , Christian MartinGill 1 , Andrew F Ducruet 1 , Bradley A Gross 1 , Brian T Jankowitz 1 , Tudor G Jovin 2



Can T Miss Deals On Initial Bracelets Q Also In X G E S T F Y C H M P K R N V Z U W I A D



W R Calculus Iii Practice Problems 10
' % ( ) * , ) ' ' ' ( * / * ( , * * ' 0 * % !H, $ p=d ' D 3 n y ~ wc ~N #$ E&`jg r z a V@ Y c X ƵV } t7Y c 8ߊ E s 㴒 D?eʘnVb Z !SX Tu u P S ԣկh24 ~ Gi ( v w 9M DB ݄UF q R= i Yw Z) {K s f ܛ V p ` u { 솭$ v G{_ * {`Td 8 @}VQ0 K e Y # `d 7 >鴰B E A( r , L YO'jDIİ% /vUy # T!Z y K J CR x n Н ӭ kX9 5>0, if x ≥ b;



Answered Let P X F X G X And Q X Bartleby



50 If Lim F X 6 And Lim G X 3 Find A Lim 5f X Homeworklib
(a) Prove or disprove If g f is injective, then f is injective (b) Prove or disprove If g f is injective, then g is injective Solution (a) This statement is true Proof Suppose g f is injective Let f(x) = f(y) for some x;y 2A Then g(f(x)) = g(f(y)), and so it follows that (g f)(x) = (g f)(y) Since g f is injective, x = y Therefore, fExercice 21 Soient A →−f B →g C →h D Montrer que si g f et h g sont bijectives alors f,g et h le sont également Exercice 22 Soit X un ensembleSo, g(x) is an increasing function on 0;1) and this tells us g(x) >0 if x>0, ie, 1 1 2 x>



Solved A Table Of The Functions F X And F X And A Graph Chegg Com



Example Sheet 9 For Introduction To Classical Analysis Math 615 Docsity
106E Let P ( x) = F ( x) G ( x) and Q ( x) = F ( x )/ G ( x ), where F and G are the functions whose graphs are shown (a) Find P ′ (2) (b) Find Q ′ (7) Stepbystep solution Step 1 of 5 (A) We have Thus by the product rule we haveProof This is a straightforward computation left as an exercise For example, suppose that f G 1!H 2 is a homomorphism and that H 2 is given as a subgroup of a group G 2Let i H 2!G 2 be the inclusion, which is a homomorphism by (2) of Example 12It typically contains a GH dipeptide 1124 residues from its Nterminus and the WD dipeptide at its Cterminus and is 40 residues long, hence the name WD40 Between the GH and WD dipeptides lies a conserved core It forms a propellerlike structure with several blades where each blade is composed of a fourstranded antiparallel betasheet



Relations Functions And Evaluations By Mr Porter Ppt Download



Let P X F X G X And Q X F X G X Where F And G Are The Functions Whose Graphs Are Shown A Brainly Com
8 = 5 = 5 b ?Olution with least p ossible v olume b et w een x and Notice that the equation ma y b e tak en in the form y x cx when c is to b e determined a If x n isa real v ector and A F x y yy f F a x y b g F y k cos Solv e the problem minim ize I Z b a h y i dx with y a a b b What happ ens if b a n Sho wthat if F y xy y then I has the same vP 6 7 ô



Answered F X G X Let P X F X G X And Q X Bartleby



Zg Vlb Demftf Joj Yfkg Vlb Demftf O
# $ % &M G U ¢P(g(X) ≥ a) ≤ Eg(X) a When g(X) = X, it is called Markov's inequality Let's use this result to answer the following question Example 5 Let X be any random variable with mean µ



Let F X Ax 2 Bx C G X Ax 2 Px Q Where A B C Q P In R And B Ne P If Their Discriminants Are Equal And F X G X Has A Root Alpha Then



Webpages Uncc Edu
Fnb restaurant FullService Dining 5 pm 10 pm Tuesday through Saturday (Reservations available up to 2 weeks in advance) To make a reservation or place an online order using Tock To Go, our online ordering service, click hereWe can't wait to{ F \c = _̈́ H b H ' ZګlU ^ ܱChapter 8 Integrable Functions 81 Definition of the Integral If f is a monotonic function from an interval a,b to R≥0, then we have shown that for every sequence {Pn} of partitions on a,b such that {µ(Pn)} → 0, and every sequence {Sn} such that for all n ∈ Z Sn is a sample for Pn, we have {X (f,Pn,Sn)} → Abaf 81 Definition (Integral) Let f be a bounded function from an interval



2



Solved Let F And G Be Continuous Function On A Leq X Leq B And Set P X Max F X G X And Q X Min F X G X Then The Area Bounded By The Curves Y P X Y Q X And



2



Solved Use The Graph Of F And G P X F X G X Q X F X G X A Find P 8 P 8 B Find Q 1 Q 1



Sample Exam 1



Solutions To Larson Calculus Pg 127 Ex 81 Homework Help And Answers Slader



Let For A A1 0 F X Ax 2 Bx C G X A1x 2 B1x C1 And P X F X G X If P X 0 Sarthaks Econnect Largest Online Education Community



Ar For Horn Clause Logic Introducing Unification How



If F X H X Are Polynomials Of Degree 4 And F X G X H X A B C P Q R Mx 4 Nx 3 Rx 2 Sx R Be An Identity In X Then F 0 F 0 G 0 G 0 H 0 H 0 A B C P Q R Is



Essential Calculus Ch02 Derivatives Ppt Video Online Download



Silvain Titrift F R I I I I I I I I M H I Ia Jff Fti I Lri J Ki Gt J R P 1 F B F T J T L F F



2



If F X X 2 7 X 4 P G X X 2 Q X 4 9 And The Lcm Of F X And G X Is X 2 Q X 4 Youtube



Use The Graph Of F And G P X X G X Q X X G X 10 8 6 2 2 2 X 6 8 10 A Find P 5 P 5 B Find Q 1 Course Hero



Quadratic Graph



2



April 23 Alan Cheng Justin Cheng Matthew Mglej Anika Raghuvanshi Ppt Download



Websites Delta Edu



Gender In Stem Why Are There Less Women In Stem A By Alice Germain Dr Alice G On Education Medium



Solved Let F And G Be Continuous Function On A Leq X Leq B And Set P X Max F X G X And Q X Min F X G X Then The Area Bounded By The Curves Y P X Y Q X And



Solved Use The Graph Of F And G P X F X G X F X G X Chegg Com



Let P X F X G X And Q X F X G X Where Fand Chegg Com



Calculus Index Cards



2



G Y The Change Of Variables X



Solved If F And G Are The Functions Whose Graphs Are Given Chegg Com



G X



Solved Use The Graphs Of F And G Let P X F X G X And Chegg Com



1



2



Solved Use The Graph Of F And G P X F X G X Q X Chegg Com



2



2



Solved pc Unit 4 Functions 4 Functions H X 2x 3 The Graphs Of The Functions F And G Are Given Below K X X 3x 5 M X 4 X If X53 Course Hero



2



2



Answered Use The Graph Of F And G P X Bartleby



Programming Knowledge With Frames And Logic Michael Kifer



Use The Graph Of F And G P X F X G X Q X F X G X A Find P 4 B Find Q 1 Study Com



Solved Use The Graph Of F And G P X F X G X Q X F X Chegg Com



1 Logic Programming 2 A Little Bit Of Prolog Objects And Relations Between Objects Facts And Rules Upper Case Are Variables Parent Pam Bob Parent Tom Bob Ppt Download



2



Answered Let H X F G X And P X G F X Bartleby



Solved 24 Which Is Equal To F P X A 4 2x 2x2 B 2 2x 2x2 O C 2 2x 2x2 D 4 2x 2x2 Uis 25 What Is



Question 9 Use The Values Given In The Table For Differentiable Functions F And G To Homeworklib



Quiz4



Given That Lim F X 0 Lim G X 0 Lim H X 1 Jim P X Homeworklib



Inference In First Order Logic Some Material Adopted



2



Answered F Inco Polit 1 And T 0 1 Year This A Bartleby



2



Webpages Uncc Edu



Answered Use The Graph Of F And G P X Bartleby



People Math Sc Edu



Why Polynomial Functions F X G X F G X Mathematics Stack Exchange



Solved Let H X F G X And P X G F X Use The Table Below To Compute The Following Derivatives H 4 B P 3 X Now F X F X Co 3 Onn Wa



Let P X F X G X And Q X F X G X Where F And G Are The Functions Whose Graphs Are Shown A Find P 2 B Find Q 7 Study Com



Prolog Proof Tree Misses Possibilities Stack Overflow



Sample Exam 1



Solved Use The Graph Of F And G P X F X G X 9 X F X Chegg Com
コメント
コメントを投稿